[摘要]《金屬與石材http://www.stonebuy.com/幕墻工程技術規范》對石材http://www.stonebuy.com/幕墻設計發揮了極大的作用,本文從技術角度出發,對其及相關的幾本規范進行了研究分析,提出了在設計方面存在著的一些差異,供石材http://www.stonebuy.com/行業技術人員參考。www.stonebuy.com
《金屬與石材http://www.stonebuy.com/幕墻工程技術規范》(JGJ133 -2001)對石材http://www.stonebuy.com/幕墻的設計、加工制作、安裝施工及驗收做出了具體的規定,自2001年6月1日起施行,發揮了應有的作用。但隨著石材http://www.stonebuy.com/幕墻的新材料、新工藝、新技術和新體系不斷應用,幕墻設計、施工經驗和科研成果有了很大的積累,JGJ133規范中的一些條文則需要重新思考。特別是近幾年國家、行業頒布了一系列的新規范,例如《建筑結構荷載規范》GB50009-2001(2006年版)、《鋼結構設計規范》GB50017-2003,《建筑抗震設計規范》GB50011-2001,《建筑裝飾裝修工程質量驗收規范》GB50210 –-2001,《玻璃幕墻工程技術規范》JGJ102-2003等。這些規范與《金屬與石材http://www.stonebuy.com/幕墻工程技術規范》在設計方面存在著一些差異,本文就這些問題提出相應的討論。
一、風荷載作用
《金屬與石材http://www.stonebuy.com/幕墻工程技術規范》JGJ133一2001中,作用于幕墻上的風荷載標準值按下式計算:Wk=βgzµsµzW。
計算式中的計算參數(陣風系數βgz、風荷載體型系數µs、風壓高度變化系數µz等)取值與其它規范存在著不同。
1陣風系數βgz。
陣風系數是瞬時風壓峰值與基本風壓的比值,取決于場地粗糙度類別和建筑物高度。
JGJ133規定陣風系數βgz取2.25;而《建筑結構荷載規范》GB50009規定:計算圍護結構風荷載時的陣風系數按下表確定: m.oacwf.cn

可見,幕墻離地面高度超過30m時按JGJ133取值是偏大的,按GB50009取值較為準確。
2風荷載體型系數µs
風荷載體型系數是指風荷載作用在幕墻表面上所引起的實際壓力(或吸力)與來流風的速度壓的比值。
GJ133規定豎直幕墻外表面的µs。按±1.5采用。
GB50009-2001(2006年版)規定驗算圍護構件及其連接的強度時,按下列規定采用(局部體型系數) µs :外表面負壓區對墻面取-1.0;對墻角區取-1.8;對屋面局部部位(周邊和屋面坡度大于10°的屋脊部位)取-2.2;對檐口、雨蓬、遮陽板等突出構件取-2.0。內表面對封閉式建筑物取-0.2或0.2。
上述的局部體型系數µs,是適用于圍護構件的從屬面積小于或等于1 m2的情況.當圍護構件的從屬而積大于或等于10m2時,局部風壓體型系數µs。可乘以折減系數0.8,當構件的從屬面積小于10m2而大于1m2時,局部風壓體型系數林。可按面積的對數線性插值。于是,體型系數µs最大值對比JGJ133略有不同:
墻面區風荷載體型系數 µs =(-1.0)+(-0.2)=-1.2
墻角區風荷載體型系數 µs =(-1.8)+(-0.2)=-2.0
3風壓高度變化系數µz
JGJ133規定風壓高度變化系數按國家標準《建筑結構荷載規范》GBJ9采用;而《玻璃幕墻工程技術規范》JGJ102提出應按GB50009規定采用。GBJ9 -87與GB50009一2001(2006年版)的區別在于地區粗糙度類別的劃分,增加了有密集建筑群且有大量高層建筑的大城市市區類別D類:

GB50009將過去的三類改成A, B, C, D四類,是考慮了我國建設事業蓬勃發展、大城市中心地區房屋的高度和密度日益增大等原因。
4基本風壓W。
JGJ133采用了GBJ9的規定,基本風壓值是30年一遇,10分鐘平均風壓值。
《玻璃幕墻工程技術規范》JGJ102采用的是基本風壓取重現期為50年的最大風速,作為當地的基本風速,再按貝努利公式確定基本風壓,在標準上與國外大部分國家取得一致。
5風荷載作用最小值
JGJ133和JGJ102均規定:作用于幕墻上的風荷載標準值不應小于1.0kN/m2o GB50009計算外圍護結構時,無此規定。
6風荷載作用對比實例
取一個北京市區中心的建筑高度為80m的民用建筑石材http://www.stonebuy.com/幕墻工程,按不同規范進行計算對比:按JGJ133計算,風荷載標準值:
Wk= 2.25×1.5x0.713×(80/10}0.4×450=2487.78N/m2。
按JGJ102和GB50009計算,風荷載標準值(最大值):
墻面區 Wk=1.85×1.2×0.318×(80/10)0.6×450=1106.23 N/m2。
墻面區 Wk=1.85×2.0×0.318×(80/10)0.6×450=1843.72 N/m2。
兩種計算方法比較,分別降低到按JGJ133計算結果的44.5%和74.1%。
二、地震作用
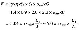
垂直于幕墻平面的分布水平地震作用標準值:

式中,αmax為水平地震影響系數最大值,在JGJ133和JGJ102中取值不同:

JGJ102對設計基本地震加速度值的取值與《建筑抗震設計規范》GB50011是一致的。
另外,式中βE為地震動力放大系數,JGJ133取5.0,與JGJ 102一2003取值一致。而《建筑抗震設計規范》GBS0011對非結構構件的水平地震作用標準值為:

可見,JGJ133規定的βE與GBS0011取值5.0是一致的。
三、規范的適用范圍
JGJ133適用于建筑高度不大于100m、設防烈度不大于8度的民用建筑石材http://www.stonebuy.com/幕墻工程。
JGJ102取消了幕墻最大適用高度的限制,但建議高度大于200m或體形、風荷載環境比較復雜的幕墻工程,采用風洞試驗確定其風荷載取值。高度200m的要求與《高層建筑混凝土結構技術規程》JGJ3-2002的要求是一致的。pic.stonebuy.com
近幾年國內大于100m高度的石材http://www.stonebuy.com/幕墻工程很多,積累了不少施工經驗和科研試驗成果,有必要取消石材http://www.stonebuy.com/幕墻最大適用高度的限制。
四、荷載組合
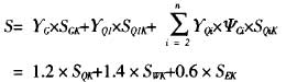
幕墻構件承載力極限狀態iii十時,其作用效應組合,GB50009規定為:

JGJ102規定為:

與《建筑抗震設計規范》GB50011是一致的。
JGJ133則為:

四本規范三種計算方法,需要研究如何統一起來。
五、鋼材受力構件設計
1.鋼材強度設計值
JGJ133與JGJ102給出的鋼材強度設計值不一樣,如下表所示:

《玻璃幕墻工程技術規范》JGJ102-2003與《鋼結構設計規范》GB50017-2003取值是一致的。
2.鋼材受力構件壁厚
JGJ133與《建筑裝飾裝修工程質量驗收規范》GB50210-2001均規定:鋼型材立柱、橫梁截面主要受力部分的壁厚不應小于3.5mm。
《玻璃幕墻工程技術規范》JGJ102-2003則提出:鋼型材立柱截面主要受力部分的壁厚不應小于3.0mm,鋼型材橫梁截面主要受力部分的壁厚不應小于2.5mm,而且為強制性條文,必須嚴格執行。mag.stonebuy.com
工程驗收時往往會因鋼型材壁厚問題出現爭議。
六、結束語
《金屬與石材http://www.stonebuy.com/幕墻工程技術規范》(JGJ133 -2001)與其它幾本密切相關的規范存在著一些的差異,建議行業內進行探討研究,詳細考慮現行標準或規范,調研、總結出更充分的技術依據和理論分析,提供規范主編單位對上述問題做出明確清晰的更正、修訂,便于工程設計人員、監理工程師在工作中執行,減少因規范不一致引起的各種矛盾和爭論,進一步促進我國石材http://www.stonebuy.com/工程技術的發展。
桂林紅 粉紅麻 金點綠 鐘山青 大白花 黃金麻,廣西芝麻黑
福鼎黑,雞血紅,G684,沙漠棕、青石,福鼎黑火燒
福鼎黑、(新福鼎黑)、福建青、福壽紅、雞血紅,新芝麻黑、黑金沙、